理解星系形成是天体物理学的核心物理问题。星系中心的超大质量黑洞被认为是调节星系中恒星生长的主要动力因素。传统观点认为这种调节是局部的,只影响宿主星系。 浙江大学物理学院岑人岳教授团队于8月21日在美国科学院院刊(PNAS)上发表研究论文《Reduced gas accretion onto galaxies due to effects of external giant radio lobes》,展示超大质量黑洞释放的巨型射电瓣对气体吸积的抑制作用主要通过一种外部的、全域性的方式来实现
依托物理高等研究院宇宙学和计算天体物理中心“星河”超算平台,他们运用大规模宇宙学磁流体动力学模拟,发现巨型射电瓣附近的星系气体吸积质量显著减少,并由此抑制恒星的形成。物理上这种外部反馈效应类似于热金斯效应,不过在这里是磁压而不是热压强抑制了星系气体吸积。由于超大质量黑洞在空间分布上具有高度的偏袒性,这种对星系的外部反馈效应显示出高度不均匀的特征。岑教授指出: “这种预防性反馈是当前大规模宇宙学模拟缺少的一项重要机制,为下一代宇宙学模型减少过多数量的自由参数以更能获得物理洞察力的愿景提供物理支柱。” 邱博士称:“ 该反馈机制跳出了以往对星系已经吸积的气体加热或冷却的固有思路,从源头上抑制了恒星形成的原料进入星系内部,具有开拓性的意义。”
这项研究于宇宙演化的正午时期(红移2-3;约100亿年前)向超大质量黑洞周围释放反馈能量,表现为百万秒差距(Mpc)尺度、充满磁能量的射电瓣。在此种反馈机制的影响下,星系间介质的磁场得到增强,并在磁压强的作用下抵抗引力势阱,于此后100亿年的演化中抑制了重子气体向星系内部的吸积。当宇宙演化至红移为0的现代时,对比没有射电瓣的情形,在此反馈机制影响下,星系内重子物质的质量占比存在显著的减少(图一)。

图一:A暗物质质量分布。等高线显示星系间介质的磁感应强度(单位为高斯,并以10为底取对数)。B-D展示无射电瓣(no fb)和有射电瓣反馈(fb)不同情形下,所选星系的重子物质质量和温度的分布。
除了图一中例举的三个星系以外,对于模拟中所有质量大于1011太阳质量的星系中重子物质减少的程度的分析表明,由于超大质量黑洞在空间的分布不均匀,此种抑制机制存在空间上的偏袒性(图二),以周边环境的平均物质密度Δ区分,Δ越大,重子物质的抑制作用越强。

图二:η为同一个星系在有无射电瓣的两种情形下重子物质在星系总质量中占比的比值。A-C分别显示了不同的环境平均密度Δ中,不同抑制程度参数η对应星系数量的累积值。
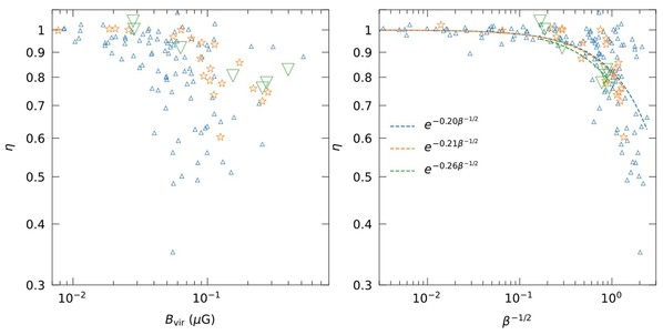
对于影响抑制强度的物理机制,该文章分析了抑制程度参数η与星系维里半径周边磁感应强度的关系,并指出当磁压强超过热压强时,重子气体的吸积受到极大的抑制。此抑制关系也可以用常用的磁流体β参数表征(图三)。

图三:重子抑制程度参数η与星系边界磁感应强度Bvir(左图)、磁流体β参数(右图)的关系。
浙江大学物理学院和物理高等研究院博后邱宇为第一作者,岑人岳教授为通讯作者。
论文DOI: https://doi.org/10.1073/pnas.2506790122